Volume 19, Issue 3 (September 2022)                   IJMSE 2022, 19(3): 1-10 | Back to browse issues page


XML Print


Download citation:
BibTeX | RIS | EndNote | Medlars | ProCite | Reference Manager | RefWorks
Send citation to:

Shanan Z J, Ali H M, Al-Taay H. Evaluation of the Influence of the Number of Laser Shots on the Characterization of TiO2/MgO Nanocomposites. IJMSE 2022; 19 (3) :1-10
URL: http://ijmse.iust.ac.ir/article-1-2651-en.html
Abstract:   (22031 Views)
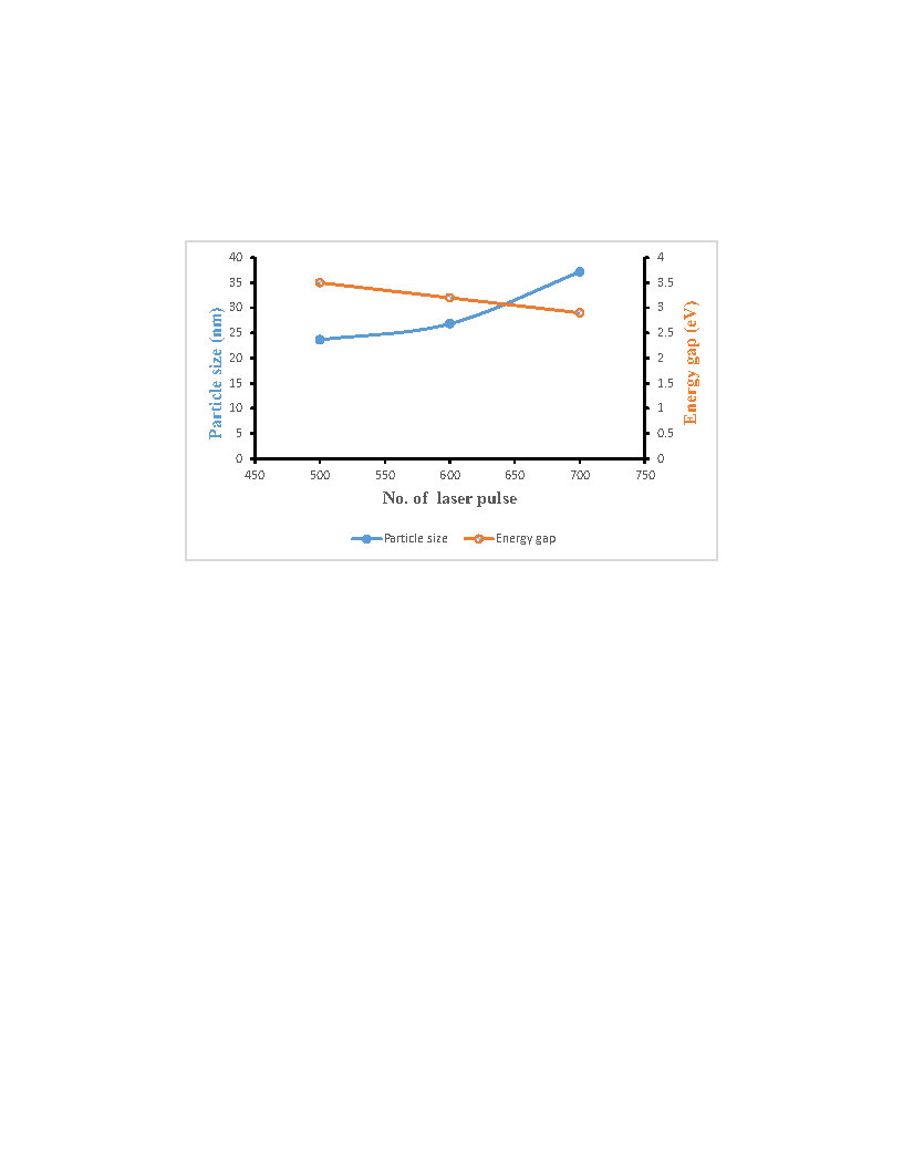
         The objectives of this work is to synthesize TiO2/MgO nanocomposites using a pulse laser deposition technique. At a vacuum pressure of 2.5 10-2 mBar, TiO2/MgO nanocomposites were synthesized on substrates with a laser power of 600 mJ and a wavelength of 1064 nm. This search utilizes various pulses (500, 600, and 700) at a 6-Hertz repetition rate. X-ray diffraction was utilized to investigate crystallography of the phases in the samples, as well as average crystallite size (XRD). An increase in the average crystal size was observed with an increase in the number of shots (from 35.15 to 38.08) nm at (500 to 700) shots respectively. The impact of the number of laser shots on the surface characteristics of TiO2/MgO nanocomposites was also evaluated using atomic force microscopy (AFM) and field emission scanning electron microscopy (FE-SEM). Finally, optical characteristics were evaluated using UV-Vis spectroscopy. Increasing the number of shots increased the absorbance and thus reduced the energy gap. 
Full-Text [PDF 1128 kb]   (4906 Downloads)    
Type of Study: Research Paper | Subject: Polymers

Add your comments about this article : Your username or Email:
CAPTCHA

Send email to the article author


Rights and permissions
Creative Commons License This work is licensed under a Creative Commons Attribution-NonCommercial 4.0 International License.

© 2022 All Rights Reserved | Iranian Journal of Materials Science and Engineering

Designed & Developed by : Yektaweb